振動試驗是指評定產品在預期的使用環境中抗振能力而對受振動的實物或模型進行的試驗,其目的是通過模擬一連串振動現象,測試產品在壽命周期中,是否能承受運輸或使用過程的振動環境的考驗,也能確定產品設計和功能的要求標準。振動試驗的精義在于確認產品的可靠性及提前將不良品在出廠前篩檢出來,并評估其不良品的失效分析使其成為高水平,高可靠性的產品。
振動試驗主要包含正弦振動試驗和隨機振動試驗兩種分類。一、正弦振動試驗
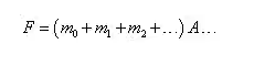
1. 振動臺推力計算

式中,F 為推力 (N);m0 為振動臺運動部分有效質量 (kg);m1 為輔助臺面質量 (kg);m2 為試件(包括夾具、安裝螺釘)質量 (kg);A 為試驗加速度 (m/s2)。
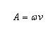
2. 加速度 (A)、速度 (V)、位移 (D),三個振動參數的互換運算公式

式中,A 為試驗加速度 (m/s2);V 為試驗速度 (m/s);ω=2πf(角速度),f 為試驗頻率 (Hz)。

式中,V 和ω 與上式同義,D 為位移 (mm0-p) 單峰值。

式中,A、D 與以上同義,該公式亦可簡化為:

式中,A 的單位為g,1g=9.8m/s2。所以

這時A 的單位為m/s2。
3. 定振級掃頻試驗平滑交越點頻率的計算公式
加速度與速度平滑交越點頻率的計算公式:

式中,fA-V 為加速度與速度平滑交越點頻率 (Hz)。(A 和V 與前面同義)
速度與位移平滑交越點頻率的計算公式:

式中,fV-D 為加速度與速度平滑交越點頻率 (Hz)。(V 和D 與前面同義)。
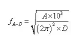
加速度與位移平滑交越點頻率的計算公式:

式中,fA-D 為加速度與位移平滑交越點頻率 (Hz),A 的單位是m/s2。
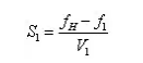
掃描時間和掃描速率的計算公式
線性掃描比較簡單

式中,S1 為掃描時間 (s 或 min);fH-fL 為掃描寬帶,其中fH 為上限頻率,fL 為下限頻率 (Hz);V1 為掃描速率 (Hz/min 或 Hz/s)。
對數掃頻,倍頻程的計算公式如下所示:

式中,n 為倍頻程 (oct);fH 為上限頻率 (Hz);fL 為下限頻率 (Hz)。
掃描速率計算公式

式中,R 為掃描速率 (oct/min 或 oct/s);fH 為上限頻率 (Hz),fL 為下限頻率 (Hz);T 為掃描時間。
掃描時間計算公式

式中,T 為掃描時間 (min 或 s);n 為倍頻程 (oct);R 為掃描速率 (oct/min 或 oct/s)。
隨機振動試驗
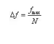
頻率分辨率計算公式

式中,△f 為頻率分辨力 (Hz);fmax 為*高控制頻率;N 為譜線數(線數);fmax是△f 的整倍數
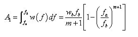
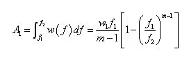
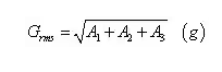
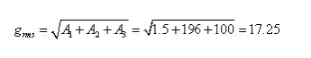
2. 隨機振動加速度總均方根值的計算

平直譜計算公式

升譜計算公式

降譜計算公式

式中,m=N/3,N 為譜線的斜率 (dB/octive)。加速度總均方根值:

利用升譜公式計算得:

利用平直譜公式計算得:

利用降譜公式計算得:

利用加速度總均方根值公式計算得:

3. 利用曲線圍成面積,計算加速度總均方根值

為了簡便起見,往往將功率譜密度曲線圖劃分成若干矩形和三角形,并利用上升斜率(如3dB/oct)和下降斜率(如-6dB/oct)分別算出wa 和w2,然后求各個幾何形狀的面積與面積和,再開方求出加速度總均方根值。

注意:這種計算方法的結果往往比用升降譜計算結果要大,作為大概估算可用,但要**計算就不能用。
加速度總均方根值

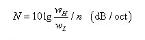
4. 求加速度功率譜密度斜率 (dB/oct) 公式

式中:
wH 為頻率fH 處的加速度功率譜密度值 (g2/Hz),wL 為頻率fL 處的加速度功率譜密度值(g2/Hz)。
下一篇:環境試驗與可靠性試驗區別
- GR-63-CORE地震測試中“剛性安裝”與“柔性安裝”對傳遞率曲線的具體影響
- 堆碼測試中時間因子與安全系數的計算方法
- 大氣暴露試驗周期與加速因子解析
- 斜面沖擊試驗:角度與速度換算(依據 GB/T 4857.11、ISO、ASTM、ISTA 標準)
- IPX7與IPX8防水等級差異全解析
- 金屬材料彈性模量檢測方法、技術原理、適用場景及標準依據
- 亞馬遜包裝運輸認證全流程詳解:從SIOC/SIPP申請到合規入倉的實戰指南
- 金屬材料氙燈老化測試解析:原理、標準與應用誤區
- 塑料懸臂梁沖擊強度測定標準 GB/T 1843-2008 深度解析:原理、方法與工程應用
- 溫度、偏置、壽命試驗(TBL)詳解 —— JEDEC JESD22-A108G-2022 標準深度解析


